下一个ICP?详解去中心化计算机Quilibrium
撰文:lydia wu
读者应知悉:由于 Quilibrium 的主网尚未发布,且目前的公开信息较少,本文中关于激励机制、经济模型、融资历史、路线图等的描述仅立足于当下的时间点,实际情况在未来可能发生改变。本文的写作主要出于研究与科普目的,请勿作为投资参考,同时也欢迎同业的批评探讨。
1. 报告要点
1.1 核心投资逻辑Quilibrium 试图在传统互联网的计算能力和区块链的去中心化之间找到一个「平衡」,并为此设计了一套独特的去中心化云计算架构Quilibrium 构建了一套基于数据库的操作系统,在开发体验上更贴近传统软件,可能将会吸引更多的传统软件开发者,以及方便目前的 Web3 开发者构建更加复杂的加密应用Quilibrium 的设计强调安全和隐私,对于不希望暴露敏感数据,又期望使用加密技术的企业来说具备较大的吸引力;对于个人来说,Farcaster 的初步破圈也证明了去中心化应用在获取用户以及产生收益方面的长期潜力创始人兼 CEO Cassie Heart 是前 Coinbase 高级工程师、Farcaster 开发者,团队拥有丰富的经验、稳定的交付能力和鲜明的个性
1.2 主要风险项目处于非常早期的阶段,主网尚未发布,且项目复杂度较高,技术可行性和市场需求的验证尚未完成短期内可能会面临来自知名度更高的 Arweave AO 在用户心智和开发者方面的竞争没有固定的通证模型,代币释放速率可能不稳定,对于投资者来说增加了一定风险
1.3 估值
由于 Quilibrium 尚处于非常早期的阶段,我们暂时无法得出项目的准确估值。但从流通市值和全流通市值来看,相比概念有重合度的其他市场玩家,Quilibrium 目前的市值具备一定的吸引力。
2.业务分析
Quilibrium 自己定位为「去中心化的互联网层协议,提供云计算的便利而不牺牲隐私或可扩展性」,以及「去中心化的PaaS解决方案」。针对这一定位,本部分将围绕以下几个问题对 Quilibrium 的业务进行阐述。
传统互联网的云计算有什么问题?我们为什么需要(又)一个去中心化的计算机?与目前主流的区块链设计相比,Quilibrium 有什么特殊之处?
来源:Cassie Heart 的 Farcaster 账号登录后复制
2.1 业务定位
2.1.1 从计算谈起
无论在 Web2 还是 Web3, 「计算」都是一个至关重要的概念,是应用开发、执行和扩展的动力来源。
在传统互联网架构中,计算任务通常由中心化的服务器完成。云计算的出现提高了计算的可扩展性、可访问性和成本效率,并逐渐取代传统计算成为主流。
从服务内容看,大型云服务商提供的云服务模型通常可以分为基础设施即服务 (IaaS) , 平台即服务 (PaaS) 和软件即服务 (SaaS) 三大类,分别对应不同需求和能力的主体,提供对资源的不同级别的控制能力。一般终端用户比较熟悉的是 SaaS。PaaS 和 IaaS 主要面向开发人员。

来源:Lydia @ Mint Ventures登录后复制

来源: S2 Lab, Lydia @ Mint Ventures登录后复制
在以太坊等主流区块链中,计算通常由去中心化节点完成。这种方式不依赖中央控制的服务器,每个节点在本地执行计算任务,并通过共识机制确保数据的正确和一致,但去中心化计算的能力和处理速度通常无法与传统云服务相比。
而 Quilibrium 试图在传统互联网的计算能力和可扩展性,以及区块链的去中心化之间找到一个「平衡」,为应用开发开辟新的可能。

来源: Cassie Heart 的直播录屏登录后复制
2.1.2 计算机系统的中心化问题
对于大部分终端用户来说,计算机的中心化问题并不易于感知。这是因为终端用户直接面对的大多是硬件层面的计算机系统。我们的 PC、手机等设备分散在世界各地,并在个人控制下独立运行。这种分布式的物理存在使得计算机系统在硬件层面不一定中心化。
与相对分散的硬件形成对比的是,现有的计算机系统在网络架构和云计算服务层面明显更加中心化——亚马逊 AWS, 微软 Azure, Google Cloud 在 2024 年一季度的云服务市场份额超过 67%,与后来者拉开了显著的差距。

来源:Synergy Research Group登录后复制
并且,作为 AI 浪潮「卖水人」,云服务商强者恒强的趋势似乎还在延续。微软 Azure 作为 OpenAI 的独家云服务提供商,近一年来的业绩增速一改往日颓势,呈现出加速增长的态势。在微软 2024 财年第三财季(即 2024 自然年一季度)财报中,Azure 和其他云服务的收入增长了 31%,高于市场预期的增长 28.6%。

来源: Microsoft, Lydia @ Mint Ventures登录后复制
除了市场竞争层面的考量,中心化的计算机系统带来的隐私和安全问题也愈发得到关注——几家大型云服务商的每一次宕机都会产生大范围的影响。数据显示,从 2010 年至 2019 年间,AWS 累计出现过 22 次突发故障,年均故障次数达 2.4 次。除了亚马逊自身的电商业务受影响之外,使用 AWS 的 Robinhood、迪士尼、Netflix、任天堂等公司的网络服务也大规模中断。
2.1.3 去中心化计算机的提出
在此背景之下,去中心化计算机的必要性被反复提出。由于近年来中心化云服务商越来越多地采用分布式架构,通过在多个地点复制数据和服务来避免单点故障,以及通过边缘存储来提升性能,去中心化计算的叙事重点逐渐转移到数据安全、隐私、可扩展性和成本效益上。
我们首先来辨析几个由不同项目提出来的去中心化计算机的概念,它们的共同特征是希望通过分散数据存储和处理,构建一个全球性的分布式计算平台,支持去中心化应用的开发。
世界计算机 (World Computer): 一般指以太坊,提供一个全球性的智能合约执行环境,其核心功能是去中心化的计算和智能合约的全球统一执行互联网计算机 (Internet Computer): 一般指由 Dfinity 基金会开发的 ICP,目标是扩展互联网的功能,实现去中心化的应用直接在互联网上运行超并行计算机(Hyper Parallel Computer): 一般指由 Arweave 提出的 AO 协议,是一种基于 Arweave 网络运行的分布式计算系统,特点是高并行性和高容错性值得注意的是,ICP, AO 和 Quilibrium 都不是传统意义上的区块链。它们不依赖线性的区块排列结构,但保持了区块链的核心原理如去中心化、数据不可篡改等,可以被视为是区块链技术范畴的自然扩展。虽然 ICP 至今未能将其宏图伟业落实,但 AO 和 Quilibrium 的出现确实带来了一种影响 Web3 未来的新可能性。
下表对比了三者的技术特点和应用方向,以期帮助读者理解「Quilibrium 是否会重蹈ICP覆辙」,以及同样作为去中心化计算的前沿解决方案,Quilibrium 和被称为「以太坊杀手」的AO有什么区别。

2.2 共识机制
在传统区块链中,共识机制处于一个较为抽象和核心的层面,它定义了网络如何达成一致、如何处理和验证交易以及其他操作。不同的共识机制选择将影响网络的安全性、速度、扩展性和去中心化程度等。
Quilibrium 的共识机制被称为「有意义的工作证明」 (Proof of Meaningful Work/PoMW),矿工被要求完成对网络有实际意义的工作,比如数据存储、数据检索、网络维护等。PoMW 共识机制的设计整合了如密码学、多方计算、分布式系统、数据库架构和图论等多个领域,旨在降低对单一资源 ( 如能源或者资本 ) 的依赖,确保网络的去中心化程度,以及在网络规模扩大的同时也能保持安全性和扩展性。
激励机制是确保共识机制能够顺利运行的关键。Quilibrium 的激励分配不是静态的,而是会根据网络状态动态调整,以保障激励与需求相匹配。Quilibrium 还引入了多重证明机制,允许一个节点验证多个数据片段,在节点和核心资源不足时依然可以维持网络运行。
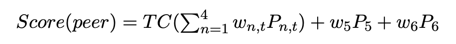
我们可以用一个简化的公式来理解矿工的最终收益,其中单位奖励会根据网络规模动态调整。
收益=评分×单位奖励
评分的计算基于多种因素,具体公式如下:

其中,各个参数定义如下:
Time in Mesh for Topic: 参与时间长、稳定性高,评分越高First Message Deliveries for Topic: 首次传递消息的次数越多,评分越高Mesh Message Delivery Rate/Failures for Topic: 传递率高且失败率低的节点评分更高Invalid Messages for Topic: 传递无效消息的次数越少,评分越高

还没有评论,来说两句吧...